One consequence of the limited-enthusiasm model of church growth is that, if the reproduction of enthusiasts exceeds a threshold, church growth accelerates. I call this threshold the revival threshold. When growth accelerates, I call it revival growth, as it is typical of the kind of growth seen in revival. Revival is a work of the Holy Spirit in the lives of people. Revival growth is its consequence.
Let Rp be the reproduction potential —the number of enthusiasts produced by one enthusiast through conversion. Let Rrev be the revival threshold. Then revival growth occurs when
Rp > Rrev
As the enthusiasts increase, the church grows, causing the available pool of unbelievers to shrink. Thus, the revival growth threshold rises. Eventually, Rrev exceeds Rp, and growth slows down. The number of enthusiasts is now declining, indicating that the revival is over.
The Welsh revival of 1904/5 is a typical example of revival growth. In 1904, 48.94% of the Welsh population attended church, giving a revival threshold of 1.96. During the revival, the reproduction potential was 2.02, exceeding that threshold. The resulting revival growth stopped after 12 months, when the church reached 56% of the population through 100,000 converts.
Demographics
Once demographic effects such as births, deaths and reversion are included in the model, four different thresholds emerge. . Reversion —people leaving the church —poses the possibility of church extinction. A growing population allows for different thresholds for absolute church numbers and for its fraction of society. The four thresholds are:
Extinction Threshold
If Rp is under the extinction threshold, Rrev, the church numbers tend to zero. Church extinction.
Critical Threshold
If Rp is under the critical threshold, Rcrit, the church fraction of society tends to zero. The church may grow in numbers, but it is not sufficient to keep pace with a growing population.
Weak Revival Threshold
If Rp is over the weak revival threshold, Rweak, the church has accelerating growth, because the number of enthusiasts is increasing. However, the enthusiasts may not be growing as fast as society.
Strict Revival Threshold
If Rp is over the strict revival threshold, Rrev, the church has accelerating growth in its proportion of society. Here, the fraction of enthusiasts are growing, meaning that the church is making revival growth inroads into society.
These thresholds were computed in Hayward (2005) and have been used to determine revival and church distinction in many denominations.
Full Activist Model
The Activist Model consists of five stocks
- Enthusiasts. Believers who contact unbelievers, resulting in conversion.
- Activists. Believers who are active in the church but not involved in conversion.
- Inactive believers. Those who make no contribution to church life.
- Hardened unbelievers. Those outside the church who are not open to conversion.
- Open unbelievers. Those outside the church who are open to conversion.
Enthusiasts are also active in the church. Thus, the total activists is the sum of the Enthusiast and Activist stocks.
The model outline is in Figure 1. Essentially. open unbelievers are converted into either enthusiasts, activists or inactive. People are only enthusiasts for a limited time before becoming non-enthusiastic activists or inactive. Those who leave the church from the inactive group either become hardened toward the church or remain open. Hardened unbelievers may soften in time. However, open unbelievers may become hard through processes of secularisation.

In the full activist model, believers may also leave the church from the enthusiast and activist categories, becoming either hard or soft. All stocks are subject to births and deaths. People born into a particular category may not adopt that category. For example, someone born to an activist may be either a believer or an unbeliever of any type.
The full model is too complex to present using stocks and flows. I prefer to use the underlying differential equations, Figure 2.

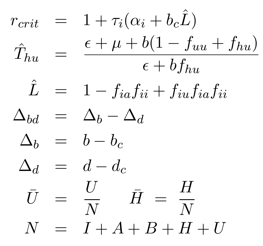
The parameters in the model are described in Figure 3.

The equations and parameter values determine the dynamics of the church.
Thresholds in the Activist Model
The four thresholds in the model are determined by the parameters in Figure 3. The formulae for the thresholds are given in Figures 4 and 5. I computed these using standard equilibrium and stability analysis.

where

The thresholds primarily depend on the behaviour of the enthusiasts, who drive growth. In addition, they are influenced by birth and death rates, and the production of open unbelievers. For example, a church will find it easier to have revival growth if the population is growing. The activist dynamics do not directly affect thresholds. However, their influence becomes important when other variables, such as spiritual, determine some of the parameters in Figure 3.
Revival Growth and Thresholds
To illustrate the significance of thresholds, I simulate a church which is growing through conversion in a growing population. The enthusiasts are so effective that the church initially grows much faster than the population – revival growth, Figure 6.

The church numbers peak around 50 years, then fall away as the revival has done its work. The temporary decline in church numbers is not because new converts do not hold, but because of delays in moving between church categories and the rapid number of conversions. This phenomenon, called overshoot, is a natural part of population dynamics. Eventually, an equilibrium is reached, and the church (blue curve) grows in line with the population (red dashed curve).
Figure 7 shows the reproduction potential (black line), greater than both the extinction and critical thresholds (red dotted and dashed lines, respectively). These are constant in this model. Thus, with these parameter values, the church will not go extinct.

The weak and strict revival thresholds start well below the reproduction potential, Figure 7, thus church growth is accelerating (Figure 6). These thresholds increase as the number of open unbelievers declines through conversion. By year 36, the reproduction potential is now under the revival thresholds, and the revival growth phase is over. The system tends to equilibrium with the strict revival threshold equal to the reproduction potential.
When the weak revival threshold crosses the reproduction potential, the fraction of enthusiasts stops growing, Figure 7 (red dashed curve). Despite that peak, many conversions occur after this time. Thus, people may still feel the revival is continuing. If they measure the revival by the proportion of enthusiasts in the church, the peak is even earlier, year 13, Figure 8 (blue curve). The revival is producing more non-enthusiasts than enthusiasts, making it hard to maintain their church proportion.
Critical Behaviour and Thresholds
Critical behaviour is when the church fails to keep pace with society. It does not go extinct, but growth is weak, and its proportion in society shrinks to zero. Figure 8 shows a church whose growth is slow, much slower than the general population. Such a church is failing to fulfil its mission of making disciples of all nations.

Figure 9 compares the thresholds. The reproduction potential (black line) lies between the extinction threshold (red dotted line) and the critical threshold (red dashed line). This is the region that gives critical behaviour. Initially, the reproduction potential exceeds the weak revival threshold, but below the strict revival threshold. Thus, there is revival growth in numbers but not in proportions. Thus, the church numbers accelerate briefly, but the church percentage does not.
